上虞风机(集团)有限公司
Shangyu fan (Group) Co., Ltd
网站首页      |       公司简介      |       产品展示      |       新闻中心      |       造型说明      |       工程案例      |       资质荣誉      |       服务承诺      |       联系我们
     
  产品列表 / Products List
· 第一篇 风机箱(离心式)
· 一、HTFC(DT)-I、II、V 系列低噪声消防排烟(两用)风机箱
· 二、BF 系列低噪声变风量风机箱
· 三、GDF 系列低噪声离心管道风机
· 四、CF 系列单吸厨房排油烟风机
· 五、YDF 系列诱导风机
· 第二篇 轴流(混流、斜流)式风机
· 一、HTF(GYF)-I、II、III、D、G、IIG 系列消防排烟轴流风机
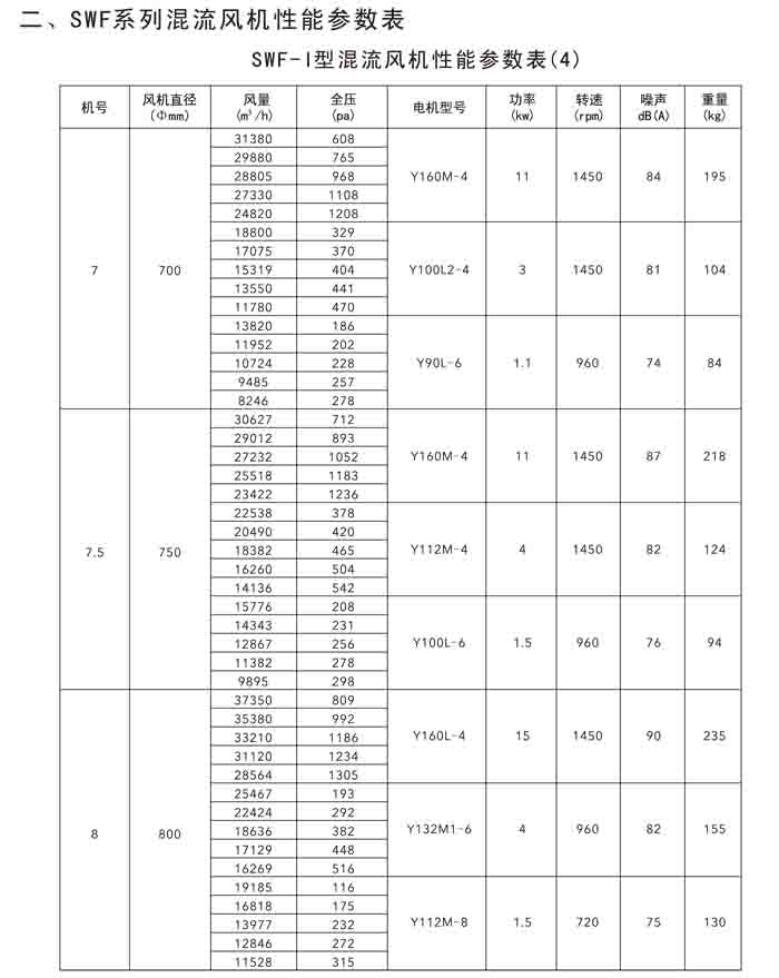
· 二、SWF(HLF、GXF)-I、II、H 系列高效混流风机
· 三、SWF-IV(HL3-2A)、HTF-PY(PYHL-14A)系列节能混流风机
· 四、SWF-V(SJG)系列混流风机
· 五、SDF 系列加压轴流风机
· 六、DZ 系列低噪声轴流风机
· 七、T35-11(T40)系列轴流风机
· 八、LFF 系列冷库专用风机
· 九、DBF 系列大型变压器专用冷却风机
· 十、SFZ 系列空调室外机组冷却风机
· 十一、DFBZ(XBDZ)系列方型壁式轴流风机
· 十二、DWEX 系列边墙式风机
· 十三、JT-LZ 系列冷却塔专用风机
· 第三篇 屋顶通风风机
· 一、DWT-I 系列轴流式屋顶风机
· 二、DWT-II、III 系列离心式屋顶风机
· 三、DWT-IV 系列无电机涡轮屋顶排风机
· 四、RTC 系列铝制离心式屋顶风机
· 第四篇 工业离心风机
· 一、4-72(B4-72)、4-79(4-2*79)离心风机
· 二、9-19、9-26 高压离心风机
· 三、G(Y)4-73 锅炉离心风机
· 第五篇 其他类风机
· 一、DJF-1、SR900 系列电动脚踏两用风机
· 二、BLD、APB 低噪声吸顶式房间通风器及百叶窗式换气扇
· 三、DPT 系列直流式静音风机
· 第六篇 风阀、风口、消声器类
· 一、FHF WSDc-K、PFHF WSDc-K 系列防火阀、排烟阀、排烟口、送风口
· 二、SFK 系列铝合金风口
· 三、FDJ、JG 系列风机专用减振器
· 四、ZP、ZG、T701-6、WX 系列风机配套消声器、ZJ静压箱
· 五、XK-1(2) 系列电源控制箱
· 第七篇 风机选用及安装维护
· 一、风机选用参考、安装维护使用说明、常见故障分析、订货注意事项
     
产品展示 / Products Show














Copyright  © 2020-2022   上虞风机(集团)有限公司版权所有      浙ICP备20027036号-3
上虞风机(集团)有限公司     上虞风机
微信扫一扫